Ideology and Issues
Updated Mar 19, 2026
Tuesday
Thursday
Causal claims imply claims about counterfactuals
What would have happened if we were to change some aspect of the world?
We can represent counterfactuals in terms of potential outcomes
Let \(Y\) measure outcomes and \(D \in \{0,1\}\) denote the presence or absence of some treatment
For any individual, we can imagine different potential outcomes:
\[ \begin{align} Y_i(D_i = 1) & & \text{Outcome under treatment}\\ Y_i(0) & & \text{Outcome under control}\\ \end{align} \] The individual causal effect is simply the difference in these potential outcomes
\[ \begin{align} \tau_i = Y_i(1) - Y_i(0) && \text{Individual Causal Effect} \end{align} \]
The fundamental problem of causal inference is that individual causal effects are unknowable because we only observe one of many potential outcomes
Rather than focus individual causal effects:
\[ \tau_i \equiv Y_i(1) - Y_i(0) \]
We focus on average causal effects (Average Treatment Effects [ATEs]):
\[ E[\tau_i] = \overbrace{E[Y_i(1) - Y_i(0)]}^{\text{Average of a difference}} = \overbrace{E[Y_i(1)] - E[Y_i(0)]}^{\text{Difference of Averages}} \]
When does the difference of averages provide us with a good estimate of the average difference?
Let’s consider a simple example
\(Y_i\) happiness measured on a 0-10 scale
\(D_i\) whether a person ate chocolate \((D=1)\) or fruit \((D = 0)\)
\(Y_i(1)\) a person’s happiness eating chocolate
\(Y_i(0)\) a person’s happiness eating fruit
\(X_i\) a person’s self-reported preference \((X_i \in\) {chocolate, fruit })
| \(Y_i(1)\) | \(Y_i(0)\) | \(\tau_i\) |
|---|---|---|
| 7 | 3 | 4 |
| 8 | 6 | 2 |
| 5 | 4 | 1 |
| 4 | 3 | 1 |
| 6 | 10 | -4 |
| 8 | 9 | -1 |
| 5 | 4 | 1 |
| 7 | 8 | -1 |
| 4 | 3 | 1 |
| 6 | 0 | 6 |
| \(E[Y_i(1)]\) | \(E[Y_i(0)]\) | \(E[\tau_i]\) |
|---|---|---|
| 6 | 5 | 1 |
If we could observe everyone’s potential outcomes, we could calculate the ICE
On average eating chocolate increases happiness by 1 point on our 10-point scale (ATE = 1)
Suppose we conducted a study and let folks select what they wanted to eat.
| \(Y_i(1)\) | \(Y_i(0)\) | \(\tau_i\) |
|---|---|---|
| 7 | 3 | 4 |
| 8 | 6 | 2 |
| 5 | 4 | 1 |
| 4 | 3 | 1 |
| 6 | 10 | -4 |
| 8 | 9 | -1 |
| 5 | 4 | 1 |
| 7 | 8 | -1 |
| 4 | 3 | 1 |
| 6 | 0 | 6 |
| \(E[Y_i(1)]\) | \(E[Y_i(0)]\) | \(ATE\) |
|---|---|---|
| 6 | 5 | 1 |
| \(x_i\) | \(d_i\) | \(y_i\) |
|---|---|---|
| chocolate | 1 | 7 |
| chocolate | 1 | 8 |
| chocolate | 1 | 5 |
| chocolate | 1 | 4 |
| fruit | 0 | 10 |
| fruit | 0 | 9 |
| chocolate | 1 | 5 |
| fruit | 0 | 8 |
| chocolate | 1 | 4 |
| chocolate | 1 | 6 |
| \(\bar{y}_{d=1}\) | \(\bar{y}_{d=0}\) | \(\hat{ATE}\) |
|---|---|---|
| 5.57 | 9 | -3.43 |
| \(x_i\) | \(d_i\) | \(y_i\) |
|---|---|---|
| chocolate | 1 | 7 |
| chocolate | 1 | 8 |
| chocolate | 1 | 5 |
| chocolate | 1 | 4 |
| fruit | 0 | 10 |
| fruit | 0 | 9 |
| chocolate | 1 | 5 |
| fruit | 0 | 8 |
| chocolate | 1 | 4 |
| chocolate | 1 | 6 |
| \(\bar{y}_{d=1}\) | \(\bar{y}_{d=0}\) | \(\hat{ATE}\) |
|---|---|---|
| 5.57 | 9 | -3.43 |
Our estimate of the ATE is biased by the fact that folks who prefer fruit seem to be happier than folks who prefer chocolate in this example
In general, selection bias occurs when folks who receive the treatment differ systematically from folks who don’t
What if instead of letting people pick and choose, we randomly assigned half our respondents to chocolate and half to receive fruit
| \(Y_i(1)\) | \(Y_i(0)\) | \(\tau_i\) |
|---|---|---|
| 7 | 3 | 4 |
| 8 | 6 | 2 |
| 5 | 4 | 1 |
| 4 | 3 | 1 |
| 6 | 10 | -4 |
| 8 | 9 | -1 |
| 5 | 4 | 1 |
| 7 | 8 | -1 |
| 4 | 3 | 1 |
| 6 | 0 | 6 |
| \(E[Y_i(1)]\) | \(E[Y_i(0)]\) | \(ATE\) |
|---|---|---|
| 6 | 5 | 1 |
| \(x_i\) | \(d_i\) | \(y_i\) |
|---|---|---|
| chocolate | 1 | 7 |
| chocolate | 1 | 8 |
| chocolate | 0 | 4 |
| chocolate | 1 | 4 |
| fruit | 0 | 10 |
| fruit | 1 | 8 |
| chocolate | 0 | 4 |
| fruit | 0 | 8 |
| chocolate | 1 | 4 |
| chocolate | 0 | 0 |
| \(\bar{y}_{d=1}\) | \(\bar{y}_{d=0}\) | \(\hat{ATE}\) |
|---|---|---|
| 6.2 | 5.2 | 1 |
| \(x_i\) | \(d_i\) | \(y_i\) |
|---|---|---|
| chocolate | 1 | 7 |
| chocolate | 1 | 8 |
| chocolate | 0 | 4 |
| chocolate | 1 | 4 |
| fruit | 0 | 10 |
| fruit | 1 | 8 |
| chocolate | 0 | 4 |
| fruit | 0 | 8 |
| chocolate | 1 | 4 |
| chocolate | 0 | 0 |
| \(\bar{y}_{d=1}\) | \(\bar{y}_{d=0}\) | \(\hat{ATE}\) |
|---|---|---|
| 6.2 | 5.2 | 1 |
When treatment has been randomly assigned, a difference in sample means provides an unbiased estimate of the ATE
The fact that our \(\hat{ATE} = ATE\) in this example is pure coincidence.
If we randomly assigned treatment a different way, we’d get a different estimate.
In general unbiased estimators will tend to be neither too high nor too low (e.g. \(E[\hat{\theta} - \theta] = 0\)])
If we treatment has been randomly assigned, we can estimate the ATE by taking the difference of means between treatment and control:
\[ \begin{align*} E \left[ \frac{\sum_1^m Y_i}{m}-\frac{\sum_{m+1}^N Y_i}{N-m}\right]&=\overbrace{E \left[ \frac{\sum_1^m Y_i}{m}\right]}^{\substack{\text{Average outcome}\\ \text{among treated}\\ \text{units}}} -\overbrace{E \left[\frac{\sum_{m+1}^N Y_i}{N-m}\right]}^{\substack{\text{Average outcome}\\ \text{among control}\\ \text{units}}}\\ &= E [Y_i(1)|D_i=1] -E[Y_i(0)|D_i=0] \end{align*} \]
That is, the ATE is causally identified by the difference of means estimator in an experimental design
| \(x_i\) | \(d_i\) | \(y_i\) |
|---|---|---|
| chocolate | 1 | 7 |
| chocolate | 1 | 8 |
| chocolate | 0 | 4 |
| chocolate | 1 | 4 |
| fruit | 0 | 10 |
| fruit | 1 | 8 |
| chocolate | 0 | 4 |
| fruit | 0 | 8 |
| chocolate | 1 | 4 |
| chocolate | 0 | 0 |
| \(\bar{y}_{d=1}\) | \(\bar{y}_{d=0}\) | \(\hat{ATE}\) |
|---|---|---|
| 6.6 | 2.8 | 3.8 |
| \(x_i\) | \(d_i\) | \(y_i\) |
|---|---|---|
| chocolate | 0 | 3 |
| chocolate | 1 | 8 |
| chocolate | 0 | 4 |
| chocolate | 1 | 4 |
| fruit | 1 | 6 |
| fruit | 1 | 8 |
| chocolate | 0 | 4 |
| fruit | 1 | 7 |
| chocolate | 0 | 3 |
| chocolate | 0 | 0 |
| \(\bar{y}_{d=1}\) | \(\bar{y}_{d=0}\) | \(\hat{ATE}\) |
|---|---|---|
| 5.4 | 5.8 | -0.4 |
| \(x_i\) | \(d_i\) | \(y_i\) |
|---|---|---|
| chocolate | 1 | 7 |
| chocolate | 0 | 6 |
| chocolate | 1 | 5 |
| chocolate | 1 | 4 |
| fruit | 0 | 10 |
| fruit | 0 | 9 |
| chocolate | 0 | 4 |
| fruit | 1 | 7 |
| chocolate | 1 | 4 |
| chocolate | 0 | 0 |
| \(\bar{y}_{d=1}\) | \(\bar{y}_{d=0}\) | \(\hat{ATE}\) |
|---|---|---|
| 5.4 | 5.8 | -0.4 |
Experimental designs are studies in which a causal variable of interest, the treatement, is manipulated by the researcher to examine its causal effects on some outcome of interest
Observational designs are studies in which a causal variable of interest is determined by someone/thing other than the researcher (nature, governments, people, etc.)
Confounder bias: Failing to control for a common cause of D and Y (aka Omitted Variable Bias)
Collider bias: Controlling for a common consequence
Drinking coffee doesn’t cause lung cancer we might find correlation between them because they share a common cause: smoking.
Smoking is a confounding variable, that if omitted will bias our results producing a spurious relationsip
Adjusting for confounders removes this source of bias
Note
When scholars include “control variables” in a regression, often they are trying to adjust for confounding variables that if omitted would bias their results


Why are attractive people such jerks?
Suppose dating is a function of looks and personality
Dating is a common consequences of looks and personality
Basing our claim off of who we date is an example of selection bias created by controlling for collider
Note
If you see a regression model that controls for everything and the kitchen sink without theoretical justification, we might worry about the potential for collider bias


Causal inference is about making credible counterfactual comparisons
In an experiment, researchers create these comparisons through random assignment
In an observational study, also attempt to make credible counterfactual comparisons through how they design their studies and analyze their data.
In general characteristics of the design are more important than the specifics variables in a given model for addressing bias
Election forecasts reflect varying combinations of:
Forecasts differ in the extent to which they rely on these components and how they integrate them in their final predictions
The preeminence of polling in modern forecasts reflects the success of Nate Silver and FiveThirtyEight in correctly predicting the 2008 (49/50 states correct) 2012 (50/50) presidential elections
Any one poll is likely to deviate from the true outcome
Averaging over multiple polls \(\to\) more accurate predictions than any one poll, provided…
the polls aren’t systematically biased
Concerns about the polls reflect the failure of such approaches to predict
Trump’s Victory in 2016
Strength of Trumps Support in 2020 and 2024
Some likely explanations
Likely voter models overstated Clinton’s support
Large number of undecided voters broke decisively for Trump
White voters without a college degree underrepresented in pre-election surveys


Polls did a better job
Forecasts correctly call:
However…
Average polling errors for national popular vote were 4.5 percentage points highest in 40 years
Polls overstated Biden’s support by 3.9 points national polls (4.3 points in state polls)
Polls overstated Democratic support in Senate and Gubernatorial races by about 6 points
Forecasts predicted Democrats would hold
Unlike 2016, no clear cut explanations for what went wrong
Not a cause:
Potential Explanations
Overall, pretty good
Average error close to 0
Average absolute error ~ 4.5 percentage points
Some polls tended overstate Republican support (e.g. Trafalgar)

Good and bad news (Silver Bulletin)
Good:
Bad:
Consistently underestimate Trump/Republican support in Presidential election years
Bad job of calling close races



Democrats hold a 3-5 point lead in generic ballots
Polling traditionally better when Trumps not on the ballot
Lot’s can change between now and November (Temporal Error…)
This weeks readings are HARD
Our goal is to answer the following:
Converse introduces the concept of belief systems and tells us this article is about the contrast between the belief systems held by political elites and the mass public
He gestures towards a hierarchy of belief strata and the importance of belief systems for democratic theory
Kind of slow start
Converse defines his core concepts
Beliefs Systems \(\sim\) Ideology
Idea elements \(\sim\) Attitudes
Constraint:
Centrality:
Range:
Converse lays out some plausible sources of ideological constraint:
Logical: More spending + Less taxes -> Bigger deficits
Psychological: “the quasi-logic of cogent arguments”
Social: Social diffusion of information -> creates perceptions of what goes with what
Converse also offers a definition of the well-informed person who understands what goes with what but can also articulate why.
Converse argues as we move from the well-informed to uninformed, several things happen:
So how does he go about doing showing this?
Converse considers people’s open-ended responses to questions about whether there is anything they like or dislike about presidential candidates in 1956 and the political parties discussed in detail in chapter 10 of the The American Voter
Ideologues:
Well, the Democratic Party tends to favor socialized medicine and I’m being influenced in that because I came from a doctor’s family.
Group Benefits:
Well I just don’t believe their for the common people
Nature of the times:
My husband’s job is better. … My husband is a furrier and when people get money they buy furs
No Content:
I hate the darned backbiting
Next Converse considers these levels of conceptualization in 1956 with peoples ability to attach the correct ideological labels with political parties
Overall, most respondents label Democrats as the liberal and Republicans as the conservative party (Table 2)
But the depth of this understanding appears quite shallow (e.g. spend vs save) (Table 3)
Recognition varies with education (Table 4)
Those with greater levels of recognition are more active in politics (Table 5)




Next Converse considers the degree of constraint (measured by correlations) between issue elements in an elite (congressional candidates) compared to the mass public
People who took a liberal position on one issue did not necessarily take a liberal position on another
the correlations between between elites’ issue attitudes were higher than the mass public
Read the footnotes!
I believe Converse is using a measure of association for ordinal data that’s built off the cross tabs of variables. The estimate of gamma, \(G\), depends on two quantities:
where “ties” (cases where either of the two variables in the pair are equal) are dropped. Then
\[G=\frac{N_s-N_d}{N_s+N_d}\]
Note
As long as you have a basic sense of what correlations are trying to tell us you don’t need to know the technical details of a specific estimator
Converse considers the stability of responses over time, looking at data from 1958-1960 finding variation the strength of temporal correlations across surveys, and attributes this to the centrality of groups and the party system for the mass public

The final piece of Converse’s argument concerns the stability of a single belief over time (1956, 1958, 1960):
The government should leave things like electrical power and housing for private businessmen to handle
A limiting case an issue not in the public debate of this period
People appear to answer the question at random
Only a small proportion (~20% fn. 39) held stable attitudes across all three periods
Converse wraps up his argument by
Allowing for the possibility of small “issue publics” on more narrow issues
Offering some comments on cross-national and historical comparisons
Summarizing the “continental shelf” that exists between elites and masses.
Converse (1964) remains one of the most influential articles in American Political Behavior
Framed decades of research on questions of ideology and citizen competence
In the absence of coherent and stable worldviews, how does democracy function?
Ansolabehere et al. pick up a critique made by Achen (1975) and others that the lack of constraint is primarily caused my measurement error
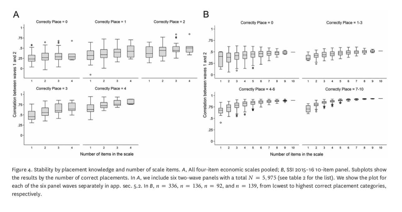
They show that measurement error tends to decreases with the number of items one uses
They offer a simple solution: measure concepts with scales constructed from multiple items
Classic measurement error models assume what we observe is a measure of some unobserved (latent) truth, plus measurement error that has mean 0 and is uncorrelated with the latent truth, X.
\[\underbrace{W}_{\text{What we observe}} = \overbrace{X}^{\text{The latent truth}} +\underbrace{\epsilon}_{\text{Measurement Error}}\]
One can show that:
\[Var(W) = Var(X) + Var(\epsilon)\\ = \sigma^2_X + \sigma^2_\epsilon\]
And the covariance between our observed and unobserved variables is:
\[Cov(XW) = \sigma^2_X\]
With some assumptions and transformations we can show that the square of correlations describe the reliability of a measure
Reliability is the proportion of the variance in the observed variable that comes from the latent variable of interest, and not from random error.
This motivates Ansolabehere et al. approach
\[\begin{aligned} \rho^2 &= \left(\frac{Cov(XW)}{SD(X)SD(W)} \right)^2\\ &=\left(\frac{\sigma_X^2}{\sqrt{\sigma_X^2}(\sqrt{\sigma_X^2+\sigma_\epsilon^2)}} \right)^2\\ &=\frac{\sigma_X^4}{\sigma_X^2(\sigma_X^2+\sigma_\epsilon^2)}\\ &=\frac{\sigma_X^2}{\sigma_X^2+\sigma_\epsilon^2}\\ &=\frac{\text{True Variance}}{\text{Total Variance}}\\ \end{aligned}\]

Panel data from the NES
Principal component factor analysis to scale items together
Correlational analysis within items and across time and also within surveys
Simulations
Sub-group analysis by political sophistication
Regression analysis of issue voting
Find dimensions that explain the maximum variance with the minimum error
A useful tool for data reduction
This is in contrast to what Converse’s “Black and White” model would predict and consistent with general arguments about measurement error
The entry point for Freeder et al.’s critique
Democracy is saved?
It’s the measures not the public that’s the problem
Use multiple measures and scale them together to study the concepts we’re interested in
The importance of political sophistication may be overstated
Please click here to take our periodic attendance survey
\[\overbrace{y}^{\text{Observed}} = \underbrace{\hat{y}}_{\text{True}} + \overbrace{u_i}^{\text{Error}} + \underbrace{v_i}_{\text{Survey Response}} + \overbrace{p_iw_i}^{WGWW}\]
Panel data with multiple issue items, measures of general knowledge/sophistication, and specific measures of WGWW proxied by candidate and party placements
Correlations and scale properties
Sub-group analysis
Regression analysis
Simulations
More items reduces measurement error
Constraint doesn’t vary with general knowledge, but does vary with WGWW
True of scales and individual items
WGWW predicts attitude stability
But only for people who agree with their party’s positions
More items won’t fix the problem


Correcting for measurement error alone won’t save democracy
Multiple items are still useful
Where does knowledge of what goes with what come from?
Tuesday:
Recap discussion of Ideology and Issues
General overview of political knowledge
Discussion of Jerit, Barabas and Bolsen (2006)
Thursday:
Alternative conceptions of political knowledge Weaver, Prowse and Piston (2019)
Misinformation (Jerit and Zhao 2020)
Begin discussion of A1

POLS 1140
Social Groupings as central objects in belief systems