POLS 1140

Class Survey

Updated Jan 29, 2026

Monday

Plan

Monday:

  • Explore initial results from survey

  • Develop additional questions of the data

Wednesday:

  • Finalized results from the data

Friday:

  • Last class (Pizza or donuts?)

Attendance Survey!

Click here to take one last attendance survey.

Course Evaluations

Students can access the Course Feedback System through:

  1. Canvas

  2. https://brown.evaluationkit.com

  3. Personalized login link in the reminder emails sent from [email protected].

Group 1

Scott Hilgartner, Harris Laferriere, Tess Naquet-Radiguet, Lily Robinson

Project

Expectations

  • H1: We expect that as people interact more on social media/ are more active on it, they will have higher degrees of politicization.

  • H2: We expect that as people engage more with video sharing social media such as Instagram or Tiktok, they will tend to lean more ideologically liberal.

  • H3: We expect that as people engage more with text sharing social media such as X or Facebook, they will tend to lean more ideologically conservative.

  • H4: We expect that as people increasingly trust the information they receive on social media, they wil tend to lean more ideologically conservative

Affective Polarization

Affective Polarization by Partisanship

Engage with poltical content

Perceived Ideology

Trust in content by platform

Trust in content by platform and ideolgoy

Media Use and Affective polarization


Call:
lm(formula = affective_polarization ~ sm_political_twitter, data = df)

Residuals:
    Min      1Q  Median      3Q     Max 
-97.281 -22.303   1.464  22.964  60.719 

Coefficients:
                     Estimate Std. Error t value Pr(>|t|)    
(Intercept)            55.559      3.092  17.971  < 2e-16 ***
sm_political_twitter   -3.256      1.166  -2.791  0.00554 ** 
---
Signif. codes:  0 '***' 0.001 '**' 0.01 '*' 0.05 '.' 0.1 ' ' 1

Residual standard error: 29.91 on 345 degrees of freedom
  (56 observations deleted due to missingness)
Multiple R-squared:  0.02209,   Adjusted R-squared:  0.01925 
F-statistic: 7.791 on 1 and 345 DF,  p-value: 0.005541

Group 2

Caleb, Michael, Ruairi, Kate, Cassandra

Project

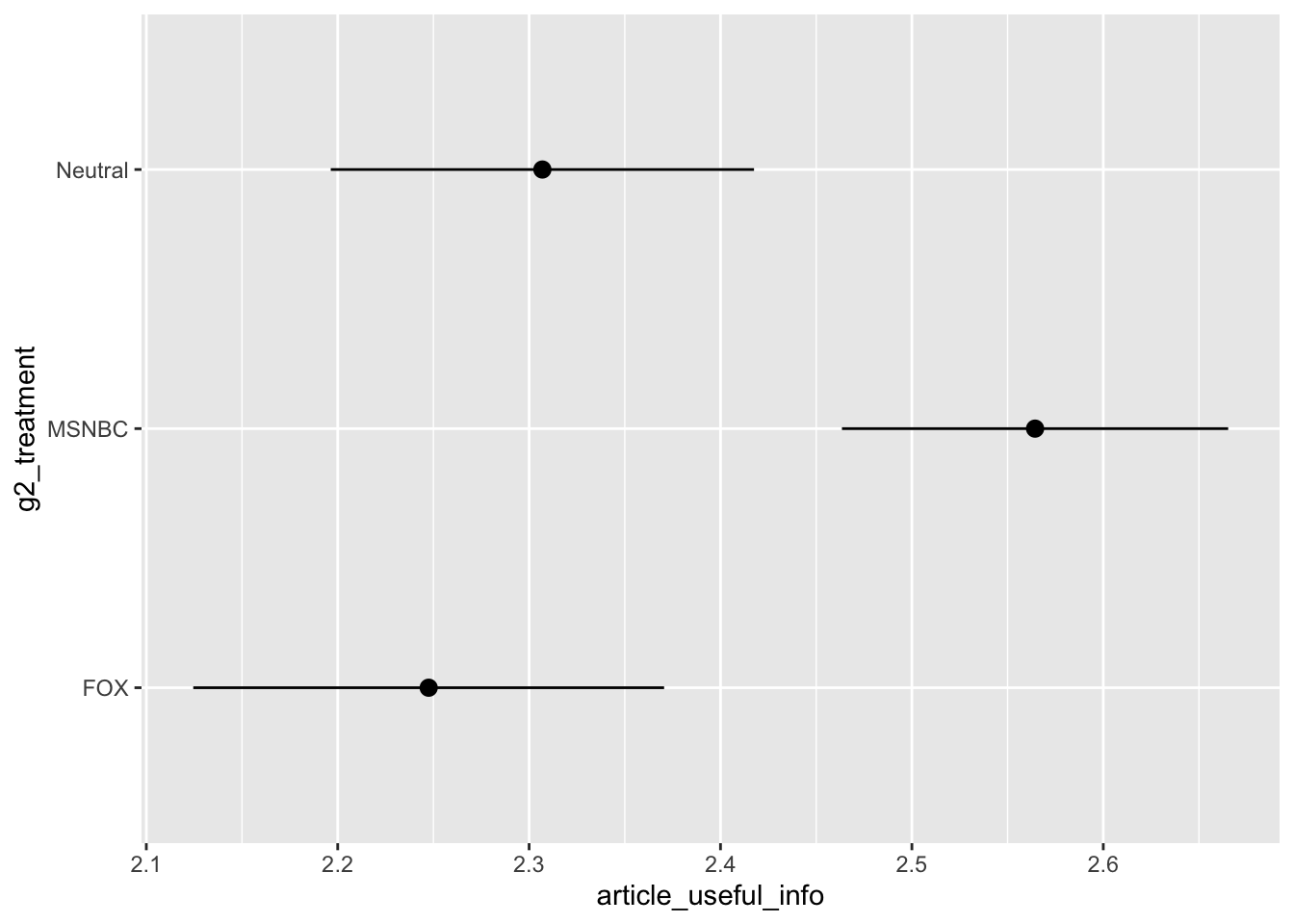
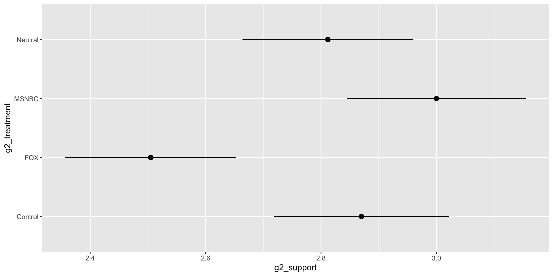
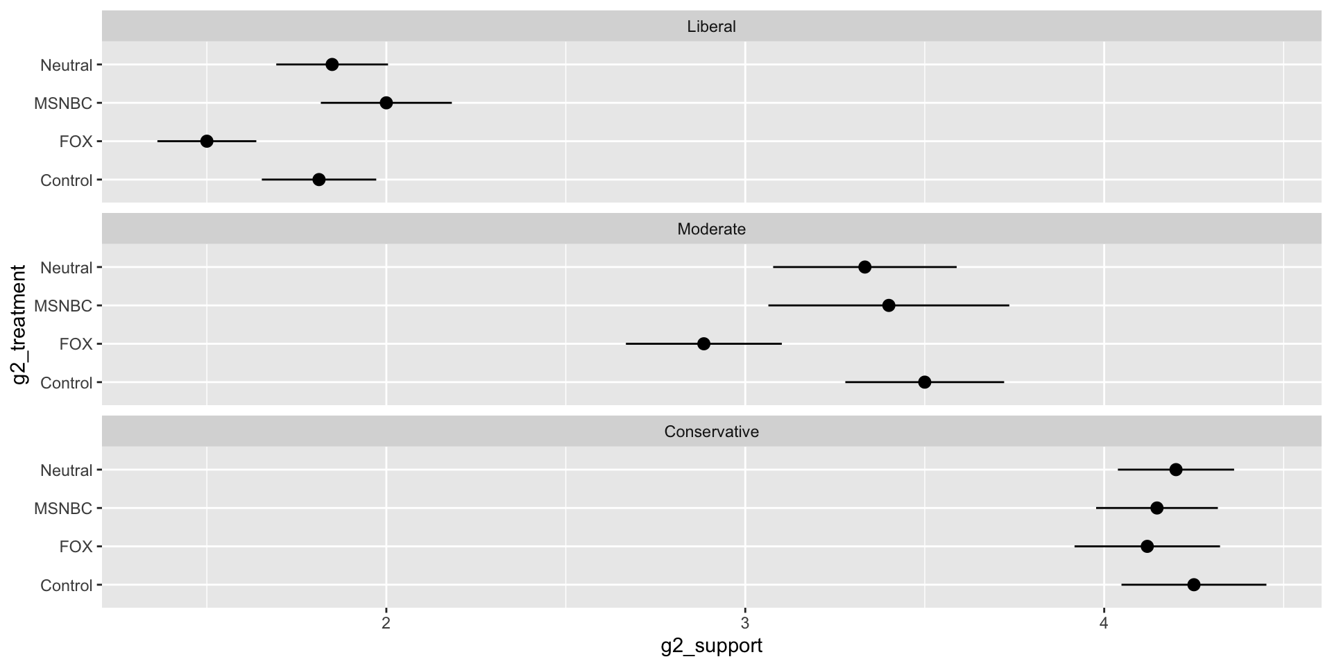
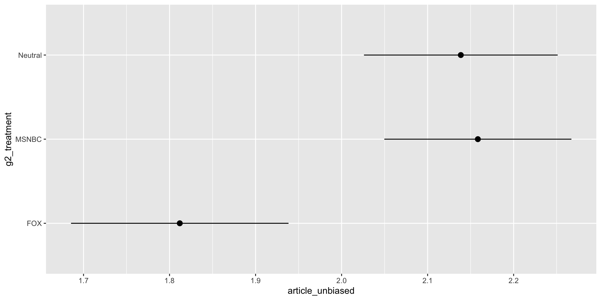
Survey takers will be randomly presented with an article from Fox News, the AP, or MSNBC, all identical in text, and will then be asked a series of questions regarding their opinion on deportations

Expectations

  • H1: Liberals who read the MSNBC article will be more likely to oppose Trump’s policies than liberals who read neutral articles, and conservatives who read the Fox News article will be more likely to support Trump’s policies.

  • H2: Liberals who read the Fox News article will also be more likely to oppose Trump’s policies than liberals who read neutral articles, and conservatives who read the MSNBC article will also be more likely to support Trump’s policies.

Results

  • Overall Support
  • Ideology

Group 3

Finn Brown, Lorena Calderon, Mia Hamilton, Ty Pham-Swann

Project

We are interested in evaluating

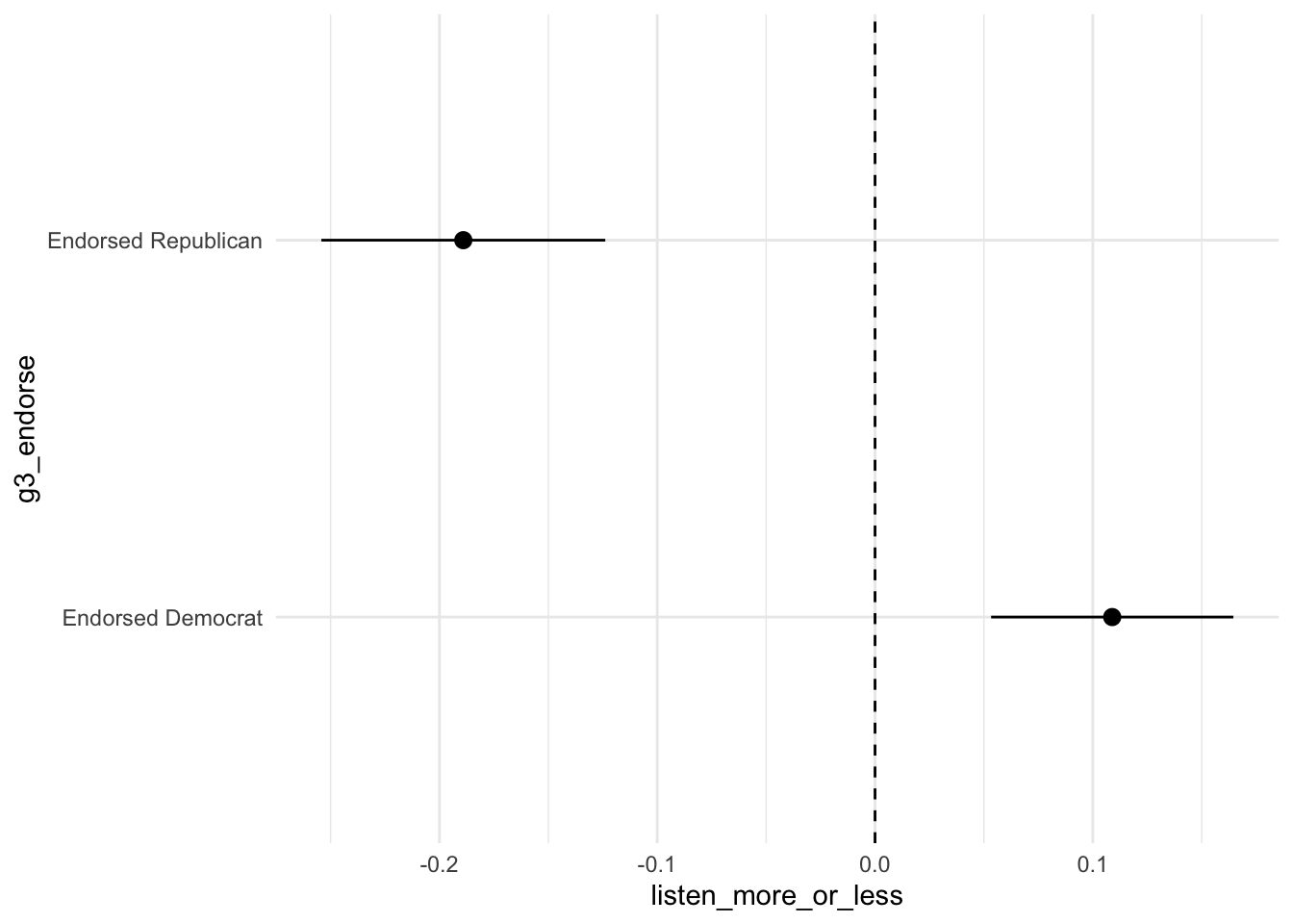
  • perceptions of partisan music preferences, including how political endorsements by musical artists might influence individuals’ listening habits, and

  • the potential ordering effect of asking respondents to evaluate their own music preferences before considering broader partisan music preferences, or vice versa.

Expectations

  • H1: We expect respondents who begin with the partisan music preference questions may report greater sensitivity to political endorsements, such as being less likely to listen to music associated with opposite-party endorsements, as the partisan framing could heighten their political identity.

  • H2: We expect respondents will rate genres like rap/hip-hop, jazz/classical, international (foreign), and pop as more Democratic. Conversely, we expect respondents will rate country and classic rock as more Republican.

Listening Preferences

Listening Preferences by Partisanship

Listening Preferences by Partisanship and Order

Perceived Partisanship of Genre’s Listeners

What if favorite musician endorsed: Democrat/Republican

By ideolgoy

Group 4

Anastasios Demopoulos, Mikael Oberlin, Joshua Silverman

Project

We are interested in understanding

  • how different demographic groups respond to media coverage of voter suppression policies, and

  • how does being a member of an underrepresented minority group (URM) correlate with trust or distrust in mainstream media?

Expectations

Confidence in Elections by Race

Statistical models
  Model 1 Model 2
(Intercept) 3.13*** 2.65***
  (0.05) (0.17)
is_black -0.12 -0.07
  (0.10) (0.10)
is_asian -0.47** -0.45*
  (0.17) (0.20)
is_latino -0.11 -0.05
  (0.15) (0.17)
is_rep   0.12
    (0.09)
is_ind   -0.58*
    (0.25)
age   0.00
    (0.00)
is_woman   -0.19*
    (0.09)
has_ba   0.13
    (0.10)
income   0.10**
    (0.03)
R2 0.02 0.12
Adj. R2 0.02 0.10
Num. obs. 403 352
RMSE 0.82 0.80
***p < 0.001; **p < 0.01; *p < 0.05

Coefficient plots

Group 5

Bridget Hickton, Sailihe Men, Riya Srinivasan, Jack Zarate

Project

We are interested in how public opinion of celebrities changes when they endorse politicians and how public opinion of these endorsements varies across different levels of age, education, and political ideology.

Expectations

  • H1: We expect that public opinion of celebrities will be more extreme when the politician they endorsed is given

  • H2: Favorability toward a celebrity is positively associated with the likelihood of voting for the politician they endorsed.

Knowledge of Celebrity Endorsements

Impact of Knowing Celebrity Endorsments

Impact of Knowing Celebrity Endorsments by Vote Choice

Group 6

Patrick Behan, Brandon Bergner, Ellie Brault, Connor Swenson

Project

  • We are interested in whether citizens from smaller states favor the Electoral College more than citizens from larger states.

Expectations

  • We expect that citizens from smaller states favor the Electoral College more than citizens from larger states.

Data

library(zipcodeR)
library(tidycensus)

# Get State and County from Zipcode
df$state <- NA
df$county <- NA

for(i in 1:403){
df$state[i] <- try(reverse_zipcode(df$zipcode[i])$state)
df$county[i] <- try(reverse_zipcode(df$zipcode[i])$county)

}
Error in reverse_zipcode(df$zipcode[i]) : 
  Invalid ZIP code detected, expected 5 digit ZIP code, got 0
Error in reverse_zipcode(df$zipcode[i]) : 
  Invalid ZIP code detected, expected 5 digit ZIP code, got 0
Error in reverse_zipcode(df$zipcode[i]) : 
  Invalid ZIP code detected, expected 5 digit ZIP code, got 0
Error in reverse_zipcode(df$zipcode[i]) : 
  Invalid ZIP code detected, expected 5 digit ZIP code, got 0
Error in reverse_zipcode(df$zipcode[i]) : 
  Invalid ZIP code detected, expected 5 digit ZIP code, got 0
Error in reverse_zipcode(df$zipcode[i]) : 
  Invalid ZIP code detected, expected 5 digit ZIP code, got 0
Error in reverse_zipcode(df$zipcode[i]) : 
  Invalid ZIP code detected, expected 5 digit ZIP code, got 0
Error in reverse_zipcode(df$zipcode[i]) : 
  Invalid ZIP code detected, expected 5 digit ZIP code, got 0
Error in reverse_zipcode(df$zipcode[i]) : 
  Invalid ZIP code detected, expected 5 digit ZIP code, got 0
Error in reverse_zipcode(df$zipcode[i]) : 
  Invalid ZIP code detected, expected 5 digit ZIP code, got 0
Error in reverse_zipcode(df$zipcode[i]) : 
  Invalid ZIP code detected, expected 5 digit ZIP code, got 0
Error in reverse_zipcode(df$zipcode[i]) : 
  Invalid ZIP code detected, expected 5 digit ZIP code, got 0
Error in reverse_zipcode(df$zipcode[i]) : 
  Invalid ZIP code detected, expected 5 digit ZIP code, got 0
Error in reverse_zipcode(df$zipcode[i]) : 
  Invalid ZIP code detected, expected 5 digit ZIP code, got 0
Error in reverse_zipcode(df$zipcode[i]) : 
  Invalid ZIP code detected, expected 5 digit ZIP code, got 0
Error in reverse_zipcode(df$zipcode[i]) : 
  Invalid ZIP code detected, expected 5 digit ZIP code, got 0
Error in reverse_zipcode(df$zipcode[i]) : 
  Invalid ZIP code detected, expected 5 digit ZIP code, got 0
Error in reverse_zipcode(df$zipcode[i]) : 
  Invalid ZIP code detected, expected 5 digit ZIP code, got 0
Error in reverse_zipcode(df$zipcode[i]) : 
  Invalid ZIP code detected, expected 5 digit ZIP code, got 0
Error in reverse_zipcode(df$zipcode[i]) : 
  Invalid ZIP code detected, expected 5 digit ZIP code, got 0
Error in reverse_zipcode(df$zipcode[i]) : 
  Invalid ZIP code detected, expected 5 digit ZIP code, got 0
Error in reverse_zipcode(df$zipcode[i]) : 
  Invalid ZIP code detected, expected 5 digit ZIP code, got 0
Error in reverse_zipcode(df$zipcode[i]) : 
  Invalid ZIP code detected, expected 5 digit ZIP code, got 0
Error in reverse_zipcode(df$zipcode[i]) : 
  Invalid ZIP code detected, expected 5 digit ZIP code, got 0
Error in reverse_zipcode(df$zipcode[i]) : 
  Invalid ZIP code detected, expected 5 digit ZIP code, got 0
Error in reverse_zipcode(df$zipcode[i]) : 
  Invalid ZIP code detected, expected 5 digit ZIP code, got 0
Error in reverse_zipcode(df$zipcode[i]) : 
  Invalid ZIP code detected, expected 5 digit ZIP code, got 0
Error in reverse_zipcode(df$zipcode[i]) : 
  Invalid ZIP code detected, expected 5 digit ZIP code, got 0
Error in reverse_zipcode(df$zipcode[i]) : 
  Invalid ZIP code detected, expected 5 digit ZIP code, got 0
Error in reverse_zipcode(df$zipcode[i]) : 
  Invalid ZIP code detected, expected 5 digit ZIP code, got 0
Error in reverse_zipcode(df$zipcode[i]) : 
  Invalid ZIP code detected, expected 5 digit ZIP code, got 0
Error in reverse_zipcode(df$zipcode[i]) : 
  Invalid ZIP code detected, expected 5 digit ZIP code, got 0
df %>% 
  mutate(
    state = ifelse(nchar(state)>2, NA, state),
    county = ifelse(grepl("(zip_char != 5)", county), NA, county)
  ) -> df

# Load county fips data, merge in df

data("fips_codes")

df <- df %>% left_join(fips_codes, by=c("county"="county", "state" = "state" ))

df %>% 
  mutate(
    fips = paste(state_code, county_code, sep="")
  ) -> df


# Load ACS Data



state_pop <- get_acs(
  geography = "state",
  variables = "B01003_001",
  year = 2020
)

state_pop %>% 
  mutate(
    state_code = GEOID,
    state_population = estimate
  ) -> state_pop

# Merge state population

df <- df %>%  left_join(state_pop)  


# County Data
county_pop <- get_acs(
  geography = "county",
  variables = c("B01003_001", "B01001B_001"),
  output = "wide",
  year = 2020
) 
county_pop %>% 
  mutate(
    county = NAME,
    fips = GEOID,
    county_population = B01003_001E,
    county_black = B01001B_001E,
    per_black_county = county_black/county_population
  ) -> county_pop

df <- df %>% left_join(county_pop %>% 
                          select(fips, per_black_county, county_population,county_black ))

# Recode Group 6 Variables

df %>% 
  mutate(
    support_ec_reform = g6_ec_reform - 4,
    state_pop_quartile = case_when(
      state_population <= quantile(state_pop$state_population)[2] ~ "Q1",
      state_population > quantile(state_pop$state_population)[2] &
        state_population < quantile(state_pop$state_population)[3] ~ "Q2",
      state_population >
      quantile(state_pop$state_population)[3] &
        state_population < quantile(state_pop$state_population)[4] ~ "Q3",
      state_population >
      quantile(state_pop$state_population)[4] ~ "Q4" 
    ),
    from_big_state = ifelse(state_population > quantile(state_pop$state_population)[4],1,0)
    ) -> df


df %>% 
  ggplot(aes(state_pop_quartile, support_ec_reform)) +
  stat_summary() +
  coord_flip()
## TODO


# Scale perceptions of EC

Respondents by Size

    
     Q1 Q2 Q3 Q4
  DC  1  0  0  0
  ND  1  0  0  0
  DE  2  0  0  0
  ME  3  0  0  0
  NH  2  0  0  0
  HI  2  0  0  0
  ID  1  0  0  0
  WV  0  2  0  0
  NE  0  1  0  0
  NM  0  1  0  0
  KS  0  2  0  0
  MS  0  2  0  0
  NV  0  5  0  0
  UT  0  4  0  0
  CT  0  5  0  0
  OK  0  4  0  0
  OR  0 11  0  0
  KY  0  0  8  0
  LA  0  0  3  0
  AL  0  0  8  0
  SC  0  0  7  0
  MN  0  0  6  0
  CO  0  0  6  0
  WI  0  0  4  0
  MD  0  0  4  0
  MO  0  0 11  0
  IN  0  0  8  0
  TN  0  0  9  0
  MA  0  0  3  0
  AZ  0  0  8  0
  WA  0  0  0  8
  VA  0  0  0 12
  NJ  0  0  0  8
  MI  0  0  0 12
  NC  0  0  0 11
  GA  0  0  0 22
  OH  0  0  0  8
  IL  0  0  0 14
  PA  0  0  0 19
  NY  0  0  0 27
  FL  0  0  0 29
  TX  0  0  0 27
  CA  0  0  0 55

State Size and Support for EC Reform

Group 8

Tanner Burns, Serenity Hamilton, Charlie Jeffers, Christian Rasmussen

Project

  • We are interested in studying how certain beliefs about election denial are affected by voting decisions in the 2024 U.S. Presidential Election, and how political affiliation relates to the strength of the belief in election fraud

Expectations

  • H1: We expect that more moderate and liberal identifying people will display more confidence in the election process, while conservatives will have an increased belief in fraud. Non-voters may have higher belief in fraud as well.

  • H2: We expect that higher amounts of exposure to conservative media will be correlated with higher amounts of belief in fraudulent activity.

  • H3: We expect that respondents in younger age ranges will have a stronger relationship between media bias leaning and its influence on belief in the security and accuracy of elections.

Results

Fraud in Elections

Fraud in Elections by Partisanship

Group 9

Benjamin Buka, Maya Choksi, Kaicee Klus, Claire Mahoney

Project

We are interested in whether people actually align with the ideals of media sources affiliated with the party they identify with. To study this question, we want to present people with a short article containing the same information, but appearing to be from a left-leaning, neutral, or right-leaning source.

Expectations

  • H1: We expect that a person who identifies with a certain party is less likely to trust the information presented from a source that leans opposite from their own party.

  • H2: We expect that people may not full-heartedly agree with the information presented by a media source that skew towards their own political bias.

  • H3: We expect that independents will be less likely to trust any polarized media source, and will be more likely to align with the source with no lean.

Results

Biased of Article

Biased of Article by Ideology

Useful Info

Useful Info by Ideology

Increased Support

Increased Support by Ideology

POLS 1140

1
POLS 1140 Class Survey Updated Jan 29, 2026

  1. Slides

  2. Tools

  3. Close
  • POLS 1140
  • Monday
  • Plan
  • Attendance Survey!
  • Course Evaluations
  • Group 1
  • Project
  • Expectations
  • Affective Polarization
  • Affective Polarization by Partisanship
  • Engage with poltical content
  • Perceived Ideology
  • Trust in content by platform
  • Trust in content by platform and ideolgoy
  • Media Use and Affective polarization
  • Group 2
  • Project
  • Expectations
  • Results
  • Group 3
  • Project
  • Expectations
  • Listening Preferences
  • Listening Preferences by Partisanship
  • Listening Preferences by Partisanship and Order
  • Perceived Partisanship of Genre’s Listeners
  • What if favorite musician endorsed: Democrat/Republican
  • By ideolgoy
  • Group 4
  • Project
  • Expectations
  • Confidence in Elections by Race
  • Coefficient plots
  • Group 5
  • Project
  • Expectations
  • Knowledge of Celebrity Endorsements
  • Impact of Knowing Celebrity Endorsments
  • Impact of Knowing Celebrity Endorsments by Vote Choice
  • Group 6
  • Project
  • Expectations
  • Data
  • Respondents by Size
  • State Size and Support for EC Reform
  • Group 8
  • Project
  • Expectations
  • Results
  • Fraud in Elections
  • Fraud in Elections by Partisanship
  • Group 9
  • Project
  • Expectations
  • Results
  • Biased of Article
  • Biased of Article by Ideology
  • Useful Info
  • Useful Info by Ideology
  • Increased Support
  • Increased Support by Ideology
  • f Fullscreen
  • s Speaker View
  • o Slide Overview
  • e PDF Export Mode
  • r Scroll View Mode
  • ? Keyboard Help